[Back [Up] [Up]
Previous page Up to the index Next page

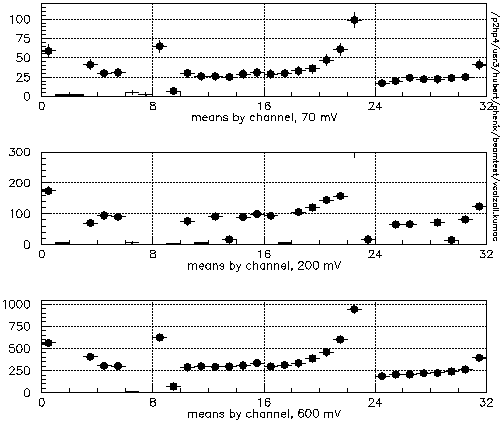
VCAL RUNS - CHANNEL GAINS


Individual channel gains are shown here for the 3 different injected voltages. Note che changes in the vertical scale. Apart from non-functioning channels, the overall trend is preserved from run to run. Chip 1 (ch 1-8) has lots of dead channels. Chip 3 shows a strong rise in gain from ch17 to ch24.

Comparing this with the laser scans, it is remarkable to see that in the first chip, the same pattern of dead channels shows up. (Recall that the VCAL runs were done on detector/mother board #1, and the laser scans on detector/mother board #2). The gain variation seen on chip 3 is also seen, but in the opposite direction.

This picture also appears in the big postscript file, pg. 19.